en
Have any Questions? +01 123 444 555

INTERNATIONAL MATRIX TESTS

Repeatable speech audiometry with complete sentences in 19 languages

International matrix tests have achieved wide recognition as speech testing procedures in noise for improved diagnostics and in the use of studies especially in the field of hearing systems. The international matrix tests are now available in 19 different languages, covering over 60% of the world's population.

The matrix tests are designed so that the test can be performed in the language of the patient or client even if the audiometrist does not speak that language. An automated process allows for accurate results - across all language barriers.

International studies also require the use of procedures whose results are comparable with each other. For this reason, special care was taken in the development of the international matrix tests to ensure that the test procedures in the various languages are highly comparable.

Under "Downloads" you can download the R&D version of the measurement program as well as a free 30-day test licence.

Sofware overview

Measurement dialog that is displayed at the start of a new measurement or at the selection of a saved or interrupted measurement.

Data area of the measurement
The middle area of the measurement dialog shows you the specific data for the current measurement.

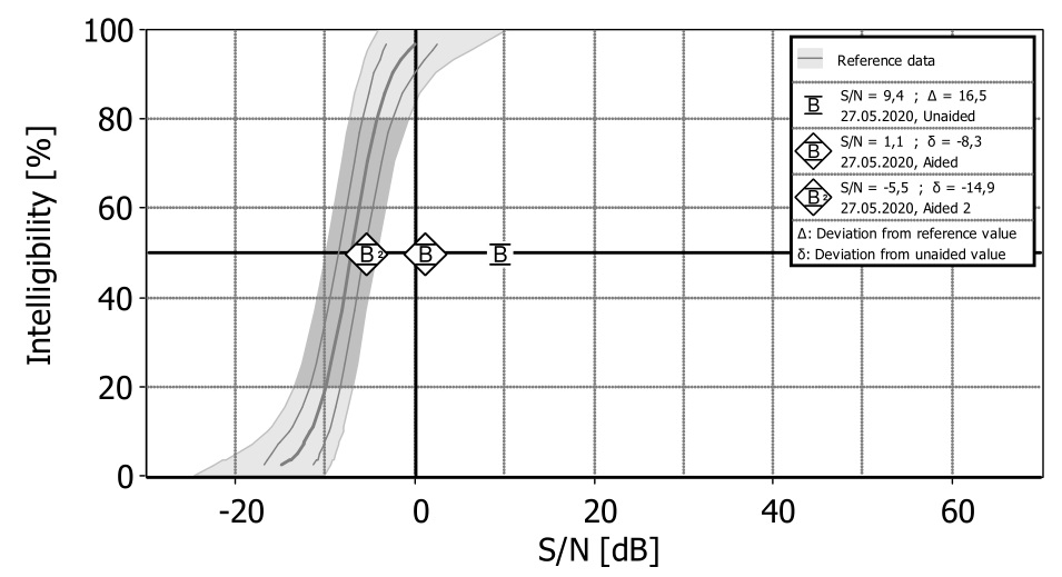
The subsequent report displays a speech audiogram in which you can display results from several tests together.

Selection mask of the french matrix test with exemplary pre-selection of the patient/customer.

Selection mask of the hebrew matrix test with exemplary preselection of the patient/customer.

Selection mask of the arabic matrix test with exemplary preselection of the patient/customer.

Similar products

MATRIX – International Matrix tests

Repeatable speech audiometry with complete sentences in 20 languages
Target groups: Adults/CI user

OLKISA – Simplified Matrix test

Speech audiometry with everyday sentences

Simplified MATRIX – Simplified International Matrix tests

Simplified International Matrix tests
Target groups: Adults and children

GÖSA – Göttingen Sentence Test Speech

Speech audiometry with everyday sentences

Not found the right thing?
Our complete offer
We are also happy to help you personally!
Copyright 2026.
Settings saved

Privacy settings

We (Hörzentrum Oldenburg gGmbH) and our partners use cookies to deliver, maitain and continously improve our website for you. Please give your consent for using cookies, as described in our cookie notice, by clicking on “Accept all and continue” to have the best user experience on our website.

You are using an outdated browser. The website may not be displayed correctly. Close